
Jak obliczyć logarytmy - proste metody i przykłady obliczeń
Poznaj proste metody, jak obliczyć logarytmy oraz przykłady obliczeń, które ułatwią Ci zrozumienie tego kluczowego zagadnienia matematycznego.
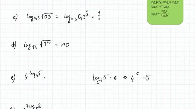
Jak obliczyć logarytmy - proste metody i przykłady obliczeń
Poznaj proste metody, jak obliczyć logarytmy oraz przykłady obliczeń, które ułatwią Ci zrozumienie tego kluczowego zagadnienia matematycznego.